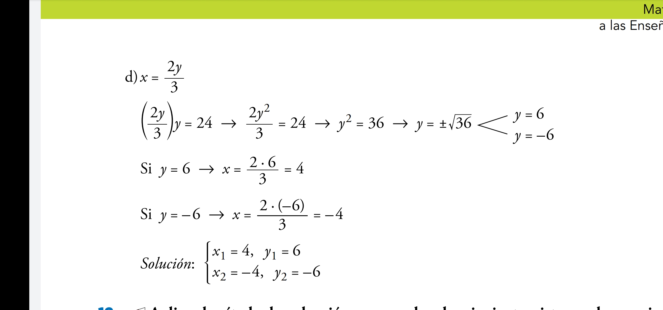
Screenshot_20200327_120107_com.google.android.apps_.docs_ Marivi Contreras Martínez 27 marzo, 2020 Sin comentarios